California Democrat activist Joseph Sanberg, a multimillionaire who fashioned himself an anti-poverty crusader, was arrested Monday on suspicion that he conspired to defraud investors in his “green” finance company, Aspiration.
“Joseph Neal Sanberg, 45, of Orange, the co-founder and largest shareholder of the financial and sustainability services company Aspiration Partners, Inc., was arrested today on a federal criminal complaint alleging that he conspired to defraud two investor funds of at least $145 million,” Joseph McNally, Acting U.S. Attorney for the Central District of California, said in a statement.
Aspiration Inc. was backed by actors Leonardo DiCaprio and Robert Downey Jr. The “climate-friendly banking” platform courted users through Democrat messaging, telling them that, unlike with traditional Wall Street firms, with Aspiration they could “do good” and “do well” because “clean rich is the new filthy rich.”
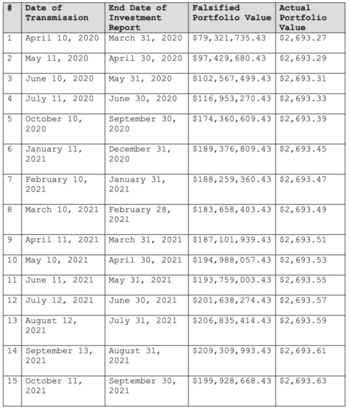
But a plea agreement signed by Aspiration board member Ibrahim AlHusseini, unsealed Monday, said that AlHusseini falsified financial statements “at Sanberg’s direction and with Sanberg’s assistance,” including one that claimed an account “held more than $199 million” when it actually “held a total of approximately $2,693.63.”
“Sanberg obtained $145 million in loans secured by AlHusseini, who Sanberg knew did not have sufficient financial assets to cover those loans if Sanberg defaulted. Sanberg hid this fact from investors, then defaulted on the loans, which resulted in at least $145 million in losses,” the Justice Department said.
Sanberg reportedly mulled running for president last year, and his website bills him as a “leader nationwide and in California on economic and social justice.” His platform included “taxing the ultra wealthy” and “passing a Green New Deal.”
Sanberg, whose wealth came in a large part from an early investment in meal delivery company Blue Apron, also led the charge to raise the minimum wage to $18 in California, pouring $10 million into a ballot initiative that was narrowly voted down last year. Top Democrats have credited him for the successful initiative to expand the Earned Income Tax Credit in the state — a move that extended one of the most fraud-ridden programs in government to illegal immigrants.
AlHusseini donated more than $300,000 to Democrats, was on the board of anti-Israel group CodePink, and was cited by the environmentalist Sierra Club as proof that “reversing the climate crisis can be profitable.”
The implosion of Aspiration, once the poster child for “green” finance, also raises questions about the billions of dollars the Biden administration sent to green groups, such as $2 billion to a nonprofit connected to Stacy Abrams that previously had only $100.
The criminal complaint against Sanberg focuses on the same $145 million deal for which AlHusseini was arrested in October. Investors agreed to lend Sanberg money because it was collateralized with Aspiration shares that AlHusseini agreed to buy from them in the event of a default. Sanberg never paid back the loan, and AlHusseini refused to buy the shares. The investors had relied on bank statements showing AlHusseini had plenty of money to buy the shares, but the FBI said in the AlHusseini complaint that those statements were fake. The complaint included a list comparing 24 allegedly fake bank statements to real ones.

AlHusseini FBI complaint
AlHusseini acknowledged in his plea agreement that the statements were fake, and said Sanberg put him up to it. “At Sanberg’s direction, defendant made untrue statements,” it said. “Defendant and Sanberg knew that the falsified statements inflated the value of the assets in defendant’s accounts by tens of millions of dollars.”
AlHusseini was paid $12 million for agreeing to backstop the loan, some of which Sanberg wired to Saudi Arabia, according to the FBI complaint against AlHusseini.
The invoices’ apparent falsity emerged through a civil lawsuit after the lenders sued Sanberg and AlHusseini in New York state court. That court issued a $78 million judgement against AlHusseini, and also a $209 million judgement against Sanberg.
On October 7, AlHusseini was arrested at the airport and held in jail as a flight risk — the civil lawsuit said he transferred $300 million to his native Saudi Arabia to avoid the judgment — before CodePink founder Jodie Evans and other liberal bigwigs put up their homes as bail in December. On January 10, the New York judge held him in contempt of court for spending money on luxuries and donations to Democrat politicians instead of paying his debt.
The Daily Wire reported that criminal complaint against AlHusseini was dropped on January 21. A lawyer hired by AlHusseini, John Lambert, told The Daily Wire that AlHusseini’s “record has been dismissed pursuant to court order and all records related thereto have been destroyed.”
But McNally, the prosecutor, said in his statement that the complaint against AlHusseini was dismissed “to facilitate his cooperation in the prosecution of others, including Sanberg,” and that AlHusseini “pleaded guilty today to an information charging him with wire fraud for falsifying documents and information to assist Sanberg.”
AlHusseini had already signed a plea agreement at the time Lambert made that statement, which admits to his guilt and that his victim “had losses of approximately $145 million, and defendant personally received approximately $12.3 million.”
Court papers dated February 25 and unsealed Monday say that AlHusseini “began supervision by agents of the FBI” and “at the direction of the government, defendant could contact Aspiration, including Joe Sanberg” and board chair Nate Redmond.

Then-Chairman of the Jefferson Awards Foundation Joe Sanberg speaks in 2016. (Photo by Larry French/Getty Images for Jefferson Awards Foundation)
McNally said “Our prosecutors and law enforcement partners have worked methodically to secure a guilty plea from one of the main offenders in this case and have now charged another member of the conspiracy. We will continue to ensure that markets and businesses receive an honest and level playing field in which to operate.”
Though Monday’s complaint against Sanberg focuses on the $145 million deal, the cooperation suggests that more charges could come, given a trail of red flags around Aspiration — a company which in some ways mirrors Sam Bankman Fried’s infamous FTX.
Aspiration offered big companies the opportunity to purchase “carbon credit” indulgences to offset their emissions. That’s big money with a hard-to-prove connection to actual value, but with hype and ideology potentially warping customers’ judgements. Like FTX, Aspiration spent disproportionately on marketing, such as a partnership with the LA Clippers. In 2021, as left-wing fervor peaked, Aspiration sought to go public at a $2 billion valuation — but there are indications it may have juiced itself with fake revenue to try to get that valuation.
A Bloomberg investigation in July suggested that Sanberg sought to inflate the company’s value through dubious deals as it prepared to go public. Millions of dollars in purported income from customers were traced to an LLC called Day 12 that was once registered to Sanberg. In another case, a nonprofit was purportedly going to pay Aspiration 10 times its annual revenue. Yet another deal appeared to have a Colombian model pay $50,000 a month to Aspiration, after which a company tied to Sanberg would pay her the same amount. The company’s auditor refused to work with it any longer, Bloomberg said.
The effort to go public through a SPAC collapsed in 2023, but not before taking $300 million from investors including former Microsoft CEO Steve Ballmer.
Bloomberg reported last January that “the Justice Department and Commodity Futures Trading Commission are looking into whether Aspiration misled customers about the quality of carbon offsets it was selling.” ProPublica reported in 2021 that Aspiration said it had “5 million passionate members” when it actually had half a million active customer accounts, and told customers that for a dollar, they’d plant a tree to help the climate, when it only cost a few cents to do so.
Sanberg has not responded to requests from The Daily Wire. Nor has Andrei Cherny, who founded the company along with Sanberg and was pushed out in 2021. Cherny worked for Bill Clinton and Al Gore, ran the Arizona Democrat Party, and ran for Congress in 2024. He sued Aspiration in December, saying it had not paid him money he was owed, but dropped the suit a few weeks later.
Aspiration did not return a request for comment, including asking whether Nate Redmond still chairs the board.
McNally said “If convicted of the charge in the complaint, Sanberg would face a maximum penalty of 20 years in prison. AlHusseini faces a maximum penalty of 20 years in prison. The FBI and the United States Postal Inspection Service are investigating the case.”

.png)
.png)

